Mastering Motion: Four Tricky Pitfalls for even the Best Students studying U2A1 and U3A1

Area of Study 1 of Units 2 or even 3 of VCE Physics can be viewed by many in numerous ways, whether it be the beginning of formula recitation or trauma by numeracy - however, it does not have to be that way. In this latest blog, we have compiled collection containing some of the most common challenges all VCE Physics students can face – even the best of the best occasionally!
Newton's Third Law
This is another area of trip-up when it comes to worded responses. Most Newton’s Third Law questions are typically structured something along the lines of …
“Billy argues with Bob that the Newton’s Third Law pairing to the force due to gravity he experiences from Earth is the Normal force exerted on him by the ground. Bob disagrees and says that Billy did not pay attention in class. Explain who is correct and why?”
…or some other flavour of the same scenario. Unfortunately, it is in fact a common misconception amongst students that these two forces are Third Law pairings when they are in fact not. There are a couple handy rules to remember when it comes to identifying pairs:
- They have to be the same type of force. (eg: contact, non-contact, EMF, etc.)
- They have to only involve two objects. No other objects can even be involved in this pairing - hence why it is a pairing.
As such, the actual Third Law pairing for the above scenario is:
"The force due to Earth’s gravity on Billy, and the force due to Billy’s gravity on Earth"
We will of course not notice the latter force thanks to the many orders of magnitude greater than a human’s mass that our planet’s mass is.
‘Plugging-in’ Values
A large problem throughout this area of study is being inflexible with formulas – simply ‘plugging in values’. Without actually understanding what each value that goes into a formula is actually for, you will almost certainly trip over questions that provide the necessary values behind layers of calculation.
Take this example for instance:

Here we have a fairly basic set-up for an inclined plane question. If students were asked for the net force of this person along the direction of the slope, one of the formulas to naturally use would be…

There is not a single thing wrong with this formula, but too many students would simply input the angle of 113 degrees provided in the question directly as ‘theta’ into the formula; completely detrimental to their calculations!
The proper angle to use as we all know, is horizontally opposite to the triangle’s right angle.
This might seem eye-rollingly obvious to some, but this problem can be applied to almost all areas in Motion. The psychological term for this is proactive interference, where one’s ability to solve problems in different, new ways is hindered by the structure of past experience in the field. It perfectly describes the unmoving, inflexible nature of many Physics students to adapting and widening their scope of ability.
As such, the key takeaways in this regard are:
- Learn what each variable in a formula means and do not blindly input values
- Broaden your scope of problem-solving by answering a wider variety of questions
Consideration of all Objects in a System
In complex question scenarios, the number of variables and objects provided can often be disorienting. It is still imperative however, to recognise how each item can influence the outcome of a calculation, or even concept. This is particularly evident in Conservation of Momentum worded responses. For example:
“A bumper car slams into a concrete wall, injuring the driver yet leaving the wall completely intact, unmoved, as the car bounces backward albeit at a lower speed. As such, the driver claims that the law of conservation of momentum was not upheld since the wall did not move. Explain how this is incorrect.”
The first thing to realise in this scenario is that the wall and bumper are not the only objects involved in this system. In fact, failure to recognise that the wall is anchored in place to the ground and in turn, the planet, will prohibit you from being able to provide an answer worthy of earning full marks.
"The wall is anchored to the Earth and thus has a much greater mass than the car. As per ‘ m1u1+m2u2=m1v1+m2v2’ , the wall did still indeed move, but due to the much higher mass, this brief change in velocity would not have been noticeable to the human eye. As such, this also explains why the rebound speed of the car was lower than its initial velocity – some momentum was transferred to the wall."
If the role of the ground was not recognised, then one may assume that the driver’s false presumption was indeed correct and thus get themselves stuck attempting to conjure up an answer.
Strategies combating this could include:
- Carefully consider, or even list all objects in a question’s scenario
- Rule out what will absolutely not affect the desired calculations and what may
Question Recognition
One of the most challenging aspects of an area of study as wide as motion is the identification of what a question is exactly asking for. We find that almost all students breeze through questions when studied week-by-week, topic-by-topic. However, when jumbled all together for an assessment, such as a SAC or exam, many can find it quickly becomes confusing and time-consuming to figure out which formulas to use, or concepts to harness.
Take this example for instance:

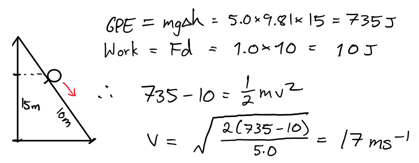
“A 5.0 kg ball is rolling down a slope as shown in the diagram. It begins from rest and travels 10 m down whilst resisting 1.0 N of frictional force along the entire journey. What is the ball’s speed at the bottom of the slope?”
For those of you who may have learnt SUVAT equations of constant acceleration or really like Newton’s second law a bit too much, it may not occur to many that this is in fact an energy conversion question!
We need to first recognise the quantities given and what we can do with them. By giving us a height and mass, we can determine gravitational potential energy. By giving us the frictional force and distance of travel, we can determine the work done against the ball. And since the question wants the speed, we can do an energy conversion to kinetic energy to find it.
The question can be solved as follows:

The key things to keep in mind in overcoming this common issue are:
- Identify variables and information given. What can be done with them?
- Identify what has not been provided. What cannot be calculated?
Final Thoughts
Motion can be a very challenging topic for many students, especially with many more tricky concepts we simply cannot cover without this article becoming a phone directory.
The ultimate solution for all these topics is a bit of a cop-out, but the discussed skills necessary only truly develop with time and experience answering a wide, random variety of questions. It can, however, be time-consuming and fruitless to even begin to search for the materials and advice necessary to thrive on your own, above your peers.
This is where Complete VCE Education comes in.
One of the most beneficial things a student can do for their academic success in not just motion, but all of VCE Physics is to gain a head-start advantage over their classmates. By enrolling with Melbourne’s only specialist Physics tutoring centre, you will not only be weeks ahead of majority of schools in Victoria but doing so with highly curated complete materials and lessons with high-achieving experts with extensive experience, whether it be in groups or one-on-one.
If you truly determined to reach your academic pinnacle in motion or of the other numerous VCE Physics topics, visit our website to learn more and get in touch with us. We look forward to seeing you, whether it be in our physical classroom in Melbourne’s bustling CBD, or from the comfort of home online on Zoom.


-2.jpeg)









